Background: The prognostic and treatment (Tx) landscape for newly diagnosed acute myeloid leukemia (ND AML) has evolved in recent years; several novel therapies have been recommended in Tx guidelines. Tx for patients (pts) with actionable IDH1, IDH2, or FLT3 mutations includes Venetoclax (Ven)-based regimens (i.e. Ven+hypomethylating agents [HMAs] and Ven+low-dose cytarabine), HMA monotherapy (i.e. Azacitidine [Aza] or decitabine), and targeted Tx (i.e. ivosidenib±Aza, enasidenib±Aza, sorafenib±HMAs, and gilteritinib+Aza). This study aims to better understand the cytogenetic and molecular testing landscape among pts with ND AML receiving first-line (1L) Tx in routine clinical settings in the United States (US).
Methods: This retrospective cohort study used data from the Flatiron Health database: a US nationwide, electronic health record-derived de-identified database. Pts with ND AML, aged ≥18 years, diagnosed with AML between January 1, 2020, and December 31, 2022, with ≥2 visits recorded within 3 months of AML diagnosis (Dx), and 1L Tx initiated any time after AML Dx were included.Pts with secondary AML, acute promyelocytic leukemia or t(9;22) were excluded. Descriptive analyses evaluated the cytogenetic testing pattern, molecular testing pattern (including next generation sequencing [NGS] and polymerase chain reaction [PCR]), and 1L Tx pattern for pts harboring IDH1/2 or FLT3 mutations (categorized as Ven-based, HMA monotherapy, and targeted Tx).
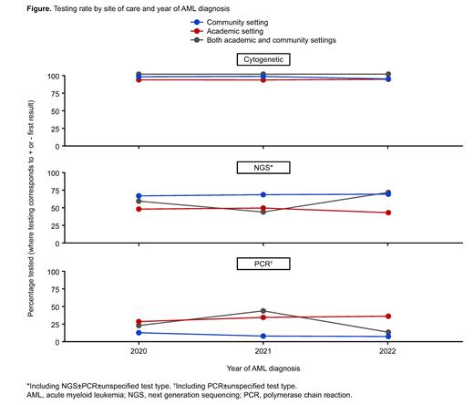
Results: A total of 1577 pts met the study criteria. Overall, 95% (n=1501) of pts received a cytogenetic test and 91% (n=1434) received molecular testing that corresponded to a positive or negative result from the first specimen collected. Of the pts with molecular testing, 70% (n=1005) were treated in the community setting, 27% (n=390) in the academic setting, and 3% (n=39) in both academic and community settings. NGS was the most used molecular testing technique in all settings (76%, 50%, and 61% in the community setting, academic setting, and both settings, respectively) vs PCR (11%, 34%, and 26%, respectively). Testing rates were relatively consistent from 2020 to 2022 ( Figure). Bone marrow aspirate alone was the most common specimen type used for molecular testing (82%, 65% and 72%, in the community setting, academic setting, and both settings, respectively), followed by blood only (14%, 25%, and 21%, respectively). A total of 78% of pts treated in the community setting had their first specimen collected at AML Dx for molecular testing (vs 63% in the academic setting and 59% in both settings). Overall, 85% of pts treated in the community setting had their first specimen collected for molecular testing before 1L Tx initiation (vs 75% in the academic setting and 90% in both settings), and 35% had repeated molecular testing (proxy by second specimen collected) after 2 weeks of 1L Tx initiation (vs 40% in the academic setting and 29% in both settings). Of the pts who received molecular testing, 25% (n=365) harbored IDH1/2 or FLT3 mutations. A total of 39% (n=142) of pts with IDH1/2 or FLT3 mutations received Ven-based Tx, 9% (n=34) received HMA monotherapy, 3% (n=12) received targeted Tx, and 49% (n=177) received chemotherapy excluding HMAs.
Conclusions: This study found that cytogenetic and molecular testing have been integrated into routine clinical care settings for pts with ND AML receiving 1L Tx. The consistent testing rates in recent years, common use of NGS molecular testing technique, and the majority of pts having first specimen collected for molecular testing prior to 1L Tx initiation reflect physicians' intention to leverage molecular data to better inform Tx decisions. The subset of pts with second specimen collected for molecular testing after 2 weeks of 1L Tx initiation suggests some physicians' efforts to evaluate new and/or persistent targeted stable mutations. Although the rate of molecular testing was high, nearly half of pts harboring IDH1/2 or FLT3 mutations received Tx guideline recommended regimens, and Ven-based Tx was more commonly administered than HMA monotherapy or targeted Tx; suggesting physicians are more commonly choosing a mutation agnostic Tx approach in ND AML. Future studies are warranted to better understand potential barriers to the timely report of molecular testing results in routine clinical practice for pts with AML.
Disclosures
Bachiashvili:University of Alabama at Birmingham: Current Employment. Harada:UAB: Current Employment; NCCN for fight CRC RFP development: Honoraria. Ma:Genentech, Inc.: Current Employment, Current equity holder in private company. Patel:Genentech, Inc. (F. Hoffmann-La Roche Ltd): Current equity holder in publicly-traded company; GlaxoSmithKline (via University of North Carolina - Chapel Hill), Regeneron: Ended employment in the past 24 months; Genentech, Inc.: Current Employment. Wang:Genentech, Inc.: Current Employment; F. Hoffmann-La Roche Ltd (stock and options as an employee): Current equity holder in publicly-traded company. Yellow-Duke:Genentech, Inc.: Current Employment, Current equity holder in private company, Current equity holder in publicly-traded company, Current holder of stock options in a privately-held company. Montez:F. Hoffmann-La Roche Ltd: Current equity holder in publicly-traded company; Genentech, Inc./F. Hoffmann-La Roche Ltd: Current Employment. Chopra:Genentech Inc.: Current Employment; F. Hoffmann-La Roche Ltd, BMS, Amgen: Current equity holder in publicly-traded company, Current holder of stock options in a privately-held company. Bui:AbbVie Inc: Current Employment, Current holder of stock options in a privately-held company. Vachhani:Abbvie, Amgen, Blueprint Medicines, Cogent Biosciences, Incyte, CTI BioPharma Corp, Daiichi Sankyo, GlaxoSmith Kline, Karyopharm, Novartis, Pfizer, Genentech, Inc., Servier, Stemline, MorphoSys, LAVA therapeutics: Honoraria; Incyte, CTI BioPharma Corp, Blueprint Medicines: Speakers Bureau.
